立方差 / 立方和公式
a3−b3=(a−b)(a2+ab+b2)
a3+b3=(a+b)(a2−ab+b2)
排列组合
Anm=n(n−1)(n−2)⋯(n−m+1)=(n−m)!n!
Cnm=m!Anm=m!(n−m)!n!
Cnm=Cnn−m其中 n≥m
等差、等比数列公式
等差数列:
an−an−1=d(n≥2,n∈N+)
an=a1+(n−1)d=am+(n−m)d
Sn=na1+2n(n−1)d=2n(a1+an)
等比数列:
anan+1=q(an=0)
an=a1qn−1=amqn−m
Sn=1−qa1(1−qn)=1−qa1−anq
三角函数
正割secx=cosx1
余割cscx=sinx1
余切cotx=tanx1
tan2x+1=sec2x
sin(−α)=−sinα,cos(−α)=cosα,tan(−α)=−tanα,cot(−α)=−cotα
sin(π−α)=sinα,cos(π−α)=−cosα,tan(π−α)=−tanα,cot(π−α)=−cotα
sin(2π−α)=−sinα,cos(2π−α)=cosα,tan(2π−α)=−tanα,cot(2π−α)=−cotα
sin(2π+α)=cosα,sin(2π−α)=cosα,cos(2π+α)=−sinα,cos(2π−α)=sinα
tan(2π+α)=−cotα,tan(2π−α)=cotα,cot(2π+α)=−tanα,cot(2π−α)=tanα
和差化积巧记:
帅+帅=帅哥:
sinα+sinβ=2sin2α+βcos2α−β
帅-帅=哥帅:
sinα−sinβ=2cos2α+βsin2α−β
哥+哥=哥哥:
cosα+cosβ=2cos2α+βcos2α−β
哥-哥=负嫂嫂:
cosα−cosβ=−2sin2α+βsin2α−β
积化和差即为和差化积倒过来:
帅哥=帅+帅:
sinαcosβ=21[sin(α+β)+sin(α−β)]
哥帅=帅-帅:
cosαsinβ=21[sin(α+β)−sin(α−β)]
哥哥=哥+哥:
cosαcosβ=21[cos(α+β)+cos(α−β)]
负嫂嫂=哥-哥:
sinαsinβ=−21[cos(α+β)−cos(α−β)]
奇变偶不变,符号看象限
sin(2nπ+α)={(−1)2nsinα(n为偶数)(−1)2n−1cosα(n为奇数)
cos(2nπ+α)={(−1)2ncosα(n为偶数)(−1)2n+1sinα(n为奇数)
等价无穷小
当x→0时,sinx∼x,tanx∼x,ln(1+x)∼x,ex−1∼x,ax−1∼xlna,1−cosx∼21x2,n1+x−1∼n1x,(1+x)a−1∼ax(a=0),arcsinx∼x,arctanx∼x
幂指函数转化
f(x)g(x)=eg(x)lnf(x)
常用结论
1∞型极限:x→∞lim(1+xa)bx+c=eab
利用夹逼准则可以证得以下结论
n→∞limna1n+a2n+⋯+amn=a其中,a=max{ai}
间断点
分类⎩⎪⎪⎪⎪⎪⎪⎨⎪⎪⎪⎪⎪⎪⎧第一类间断点:x→x0−limf(x),x→x0+limf(x)都存在.第二类间断点:x→x0−limf(x),x→x0+limf(x)至少有一个不存在.
第一类⎩⎪⎪⎪⎪⎪⎪⎪⎪⎨⎪⎪⎪⎪⎪⎪⎪⎪⎧可去型间断点:x→x0−limf(x)=x→x0+limf(x){=f(x0)f(x0)无定义跳跃型间断点:x→x0−limf(x)=x→x0+limf(x)
第二类⎩⎪⎪⎪⎪⎪⎪⎨⎪⎪⎪⎪⎪⎪⎧无穷型间断点:x→x0−limf(x)=∞或x→x0+limf(x)=∞.震荡型间断点:x→x0limf(x)震荡.
微分的几何意义

导数表

莱布尼兹公式
(uv)(n)=k=0∑nCnku(n−k)v(k)
中值定理










数列极限转积分
∫01f(x)dx=k=1∑nn1f(nk)
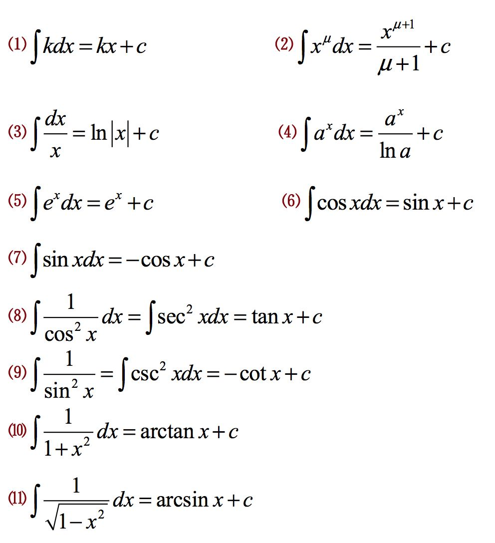
基本积分公式


常见的换元法
以下式子中,R(u,v) 表示 u,v 的有理函数.
- ∫R(x,a2−x2)dx,∫R(x,x2±a2)dx 型,a>0.
可以通过画一个直角三角形来快速判断x应当如何换元
- 含 a2−x2,令 x=asint,dx=acostdt,
- 含 x2+a2,令 x=atant,dx=asec2tdt,
- 含 x2−a2,令 x=asect,dx=asecttantdt.
- ∫R(x,nax+b,max+b)dx 型,a=0.
- 令 mnax+b=t,x=atmn−b,dx=amntmn−1dt.
- ∫R(x,cx+dax+b)dx 型
- 令 cx+dax+b=t,x=a−ct2dt2−b,dx=(a−ct2)22(ad−bc)tdt.其中设 ad−bc=0.
万能代换∫R(sinx,cosx)型:
- 令 tan2x=t,则 sinx=1+t22t,cosx=1+t21−t2,dx=1+t22dt.
分部积分法
设 u(x),v(x) 均有连续导数,则
∫u(x)v′(x)dx=u(x)v(x)−∫v(x)u′(x)dx
或
∫u(x)dv(x)=u(x)v(x)−∫v(x)du(x)
以及
∫abu(x)v′(x)dx=u(x)v(x)∣∣∣∣ab−∫abv(x)u′(x)dx
或
∫abu(x)dv(x)=u(x)v(x)∣∣∣∣ab−∫abv(x)du(x)
参考链接
https://blog.csdn.net/nantongcjq/article/details/78987467